Voltar

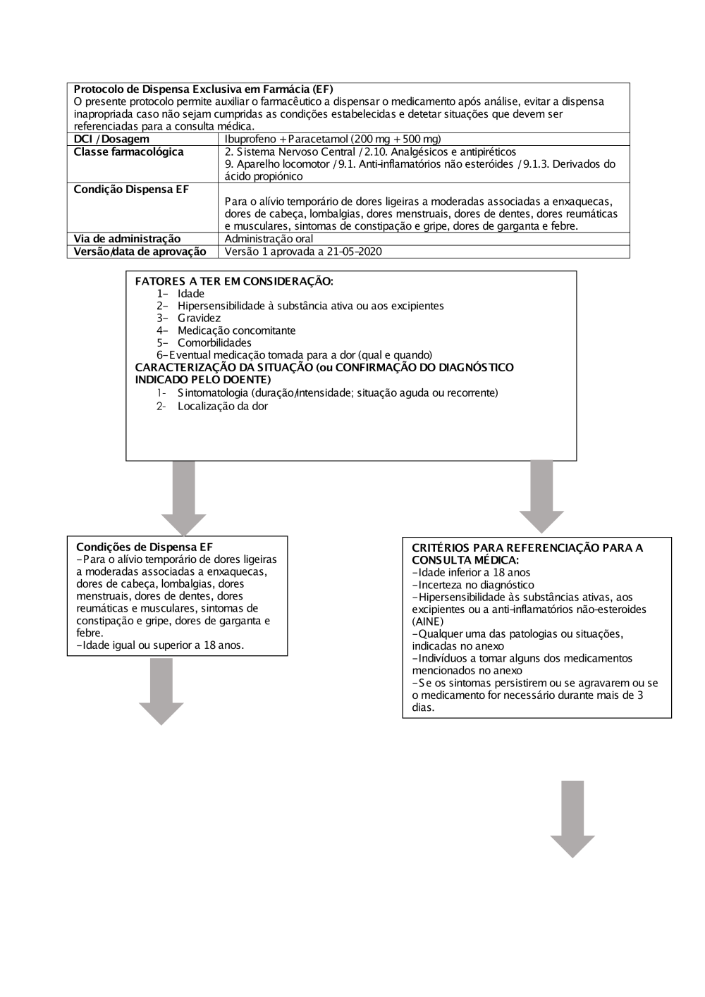
Protocolo de Dispensa Exclusiva em Farmácia (EF) Ibuprofeno+Paracetamol 200 mg + 500 mg

Protocolo de Dispensa Exclusiva em Farmácia (EF) Ibuprofeno+Paracetamol 200 mg + 500 mg (Versão 1.4)

Miniatura Uploads feitos por dina lopes, 27-11-2020 15:35
Média (0 Votos)
Protocolo de Dispensa Exclusiva em Farmácia (EF) Ibuprofeno+Paracetamol 200 mg + 500 mg
Categorias: Instruções/procedimentos Público: Profissionais de saúde Taxonomias: Informação institucional Medicamentos de uso humano Dispensa Autorização de introdução no mercado (AIM) Avaliação técnico-científica
Tags: protocolos
1 de 5
Comentários
Sem comentários ainda. Seja o primeiro.

Versão 1.4

Última atualização por Sara Carvalho
15-01-2021 14:13
Estado: Aprovado
Protocolo de Dispensa Exclusiva em Farmácia (EF) Ibuprofeno+Paracetamol 200 mg + 500 mg
Transferir (657k) Get URL.
Histórico da versão
Versão Data Tamanho  
1.4 5 Anos atrás 657k
1.3 5 Anos atrás 56k
1.2 5 Anos atrás 56k
1.1 5 Anos atrás 56k
1.0 5 Anos atrás 56k