Voltar

Alfa amilase comprimidos

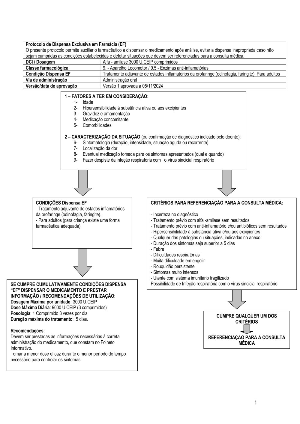
Alfa amilase comprimidos (Versão 1.0)

Miniatura Uploads feitos por Dina Lopes, 20-11-2024 16:10
Média (0 Votos)
Protocolo EF Alfa amilase comprimidos
Categorias: Instruções/procedimentos Público: Entidades Profissionais de saúde Taxonomias: Medicamentos de uso humano Dispensa Manutenção no mercado
Tags: protocolo de dispensa protocolo de dispensa ef dispensa
1 de 4
Comentários
Sem comentários ainda. Seja o primeiro.

Versão 1.0

Última atualização por Dina Lopes
20-11-2024 16:10
Estado: Aprovado
Protocolo EF Alfa amilase comprimidos
Transferir (152k) Get URL.
Histórico da versão
Versão Data Tamanho  
1.0 1 Ano atrás 152k